
抗战期间徐森玉在昆明跌断股骨康复时所摄

徐森玉(中)和三弟徐鹿君(左)、友人在一起

徐森玉先生与兄弟子女

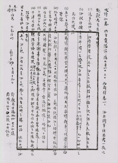
徐森玉致文绮信(1939年7月19日)

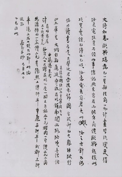
徐森玉致文绮信(1939年9月7日)

徐森玉致文绮信(1940年4月24日)
王圣思整理
外公徐森玉老先生给我母亲徐文绮女士的这十二通家书及其他十余通书信躲过了“文革”中的几次抄家,也躲过了父亲辛笛所有藏书及书橱书柜等被卡车运走、扔到大场一个仓库的命运。这些家书能保存下来真是万幸。
十二通家书写于1938年至1940年,正是在抗日战争期间。那时外公以故宫博物院古物馆馆长之职协助院长马衡先生主持故宫文物南迁,“春入蜀,夏入陕,秋入黔,冬入滇”。同时,他为北平图书馆古籍珍本寻找庋藏合适地点而到昆明,在郊外跌断了股骨,治疗五个月之久,还没痊愈,又拄拐赶赴贵州安顺读书山,守护故宫南迁文物。书信中可见外公对贵州文化古迹的考察,对当时社会民生的关注,对自己身体状况的告知,对子女的爱护和关心等等。其中有五通书信涉及我母亲拟应我父亲之约赴欧一同去法国留学、以及欧战爆发无法成行诸事,外公所作的种种考虑。
在此之前,“七七”事变后,外公指导并协助西北科学考察团干事沈仲章先生把藏在北京大学文科研究所的万余枚居延汉简冒险从北京大学运出。为妥善安置,他赶去香港,与香港大学许地山先生、冯平山图书馆馆长陈君葆先生等联系、筹划、落实此事。在与女儿通信期间,他又去香港为影印居延汉简之事操劳,以至无法参加女儿的订婚、结婚仪式。他为保全中华珍贵文物古籍而到处奔波,费尽心力。难怪父亲上世纪七十年代初悼念老丈有诗云:“衰翁抱病获丛残,批斗登台应诺难。劳瘁都缘文物累,深情留与后人看。”“许国何须惜此身,此身虽在亦堪惊。百年终是匆匆客,一例龙华道上人。”
我在2012年曾写有《重读外公徐森玉的家信》一文,发表在《文汇读书周报》上,转述和引用了外公信中的若干内容。承编辑部再次约稿,希望能刊登外公家书的原文以飨读者,于是整理出来,又经徐文堪小舅舅和上海博物馆柳向春博士的审读,根据内容和其他旁证,大致确定这十二通家信书写的年份和地点,以供参考。对有关亲人作了一些注释;提到不少友人姓名,有的人尽皆知,有的则已查阅不到,因此一律不作注释。特此说明。
一
1938年12月19日
昆明
文绮①知悉:魏太太来滇,带到来信并衣服等。信中叙沪寓近事甚详,如闻謦咳于侧,欣喜之至。衣服亦甚得用,免再购置。余在此有钱用,并非虚语。汝必要寄钱来是汝孝心。汝自留学②后存款悉用尽。余今再用汝钱,岂过意得去?推辞又不好,仍存余处,将来再说可也。余恙已大愈,正在学习步行,再有一月必能出门矣。汝太忙须节劳为是,此询进步
小毛③同此。
森玉手泐
十二月十九日
①文绮,两岁过继给二伯父徐森玉为女儿,称他为爹,称生父、即森玉三弟徐鹿君为三叔。
②指文绮大学毕业后去日本京都帝国大学研究院留学,“七七”事变后中断学业回国。
③小毛即文绮的亲妹徐文缃。
二
1939年1月19日
昆明
文绮知悉:接汝十二月二日、十四日、廿八日三函,得悉一一。速记暂停学习,可以节劳。余甚忧汝事□□,于身体有损也。余不久赴安顺养疴,距沪又稍远矣。顷接北平来函,韩蕴晴、成浦吟两先生(皆余之好友),均以脑充血去世。人命无常,闻之至为感怀。韩世兄在清华电气工程系肄业,工课颇佳(今年暑假即毕业)。昨尚来余寓留吃晚饭,余不拟以此凶耗告之也。此询进步
小毛同此。
森玉手泐
十九日
三
1939年4月14日
安顺
文绮知悉:前寄一信,谅收到,汝事想甚忙,仍宜节劳为是。余一切如恒。镇宁县(距安顺百余里),有红崖山,崖有古代文字,有云,高宗伐鬼方时,所刻者,有谓系古代苗文者,有谓并非文字者(丁文江如此说)。拟乘滑杆往观,此亦山中消遣之一法也。张寓锋已赴平,汝可写一信托渠探询汝珠兄近状,倘能痛改前非,汝可向汝三叔为之说情,设法令其南来,使为父子如初,余意此其时矣。凡事万不可以不了了之,尤不可讳疾拒医。汝以为何如? 此询近好
小毛同此。
森玉手泐
四月十四日
①珠兄系文绮亲哥,徐家大排行老二。
四
1939年7月19日
安顺
文绮知悉:昨自贵阳归,接七月一日、三日两函,得悉一一。汝出国事①经思考一夜,以赴欧洲为是,其理由如下:
(一)沪事②非但与汝所学异途,且以汝之不屈服精神论之,决不能长久服务下去。
(二)汝披沙拣金有年,得一王馨迪③自非寻常之盲从者可比(余闻此事亦深庆幸)。凡一切世俗之见均须摈除。
(三) 若令王馨迪提前归国,于学业上损失太大。渠既将为我家婿,应事事从渠之方面着想。
(四)现在镑价太高,汝赴欧之费用是一大问题。惟有请汝三叔将预备汝之婚礼费移作此用,余意即稍举债成就此举,亦觉称心。惜余太穷,不能加以援助也。
(五)将来汝两人学成归国,双双拜见汝三叔,其荣幸当过于排场之婚礼十倍也。
(六)中国女子衣服着至欧洲甚为雅观,与男子不同,汝若至欧,不必另制服装。
(七)牛津大学已聘陈寅恪为教授(聘中国人为教授,此是第一次),不识陈往就否,余即作函询之。如陈赴英或可指导汝若干事也。
余日来甚忙,未致函汝三叔,汝将此纸呈汝三叔阅之,作为说明之据。
此询
近好 上叩 汝
大伯 三叔三婶均安
小毛同此。
森玉手泐
七月十九日
邓履安住沪地址余不知道,罗畅生仍在沅陵中央银行。
①在英国留学的辛笛约文绮到欧洲相聚,一起去法国留学深造。
②指文绮中断日本留学后,回沪考入海关任职。
③王馨迪即辛笛的本名。
五
1939年8月12日
安顺
文绮知悉:前寄各信谅已收到。现国币惨跌,汝赴英或有阻碍(因久不接信遂生悬想如此),亦当随遇而安,徐图办法,万不可焦急,至要至要。惜余远在数千里外,无法为汝划策也。余一切如故,蔬菜暂多,可以加餐,如西红柿(每餐必备)、茄子、毛豆、瓠子、山药蛋、洋白菜、洋荷(此菜平沪均无)、菌子(种类甚多)之属,均甚肥美。前用做饭之女工另有高就 (贵阳人工价大涨之故),近雇一巴县人周伯岐做菜,较前稍可口也。小毛暑假中不可荒废,仍宜念书,汝暇时为之讲解。此询近好
小毛均此。
森玉手泐
八、一三前一日
六
1939年8月19日
安顺
文绮知悉:前接汝两信,赴欧事余甚以为然,当复一函(余前寄照片收到否)。越二日,又致汝大伯三叔一函(此后又寄一函)。今接汝七月卅日来书,知前函尚未接到。近来邮递忽迟忽速,已大不如从前之有秩序,可叹可叹。近想各函均已收到矣。法币惨跌,金货大涨,赴欧日难一日,好者汝志已决,或可打破重障碍也。余藏汉魏石经三百余,可值万元(他物可易钱者尚多。罗叔蕴曾给过此价,当以罗在满洲国,不愿与之商量),惜远在北平,鞭长莫及。如此物今能易钱,当全数给汝(余已写信托人)。文坰来信以未接到沪上详函,故行止未决定。若果回沪,又须经桂经黔经滇,乘滇越路,护照亦不易得(政府现禁止公务人员赴沦陷区域)。越币港币价奇昂,不识沪上能知此各种艰困否? 老境如奔轮,但望汝夫妇他日归国,尚能见面,私愿足矣。赴欧筹措情形望随时告我。此询 汝好 上叩汝大伯三叔三婶安
小毛同此。
森玉手泐
八月十九日
叶揆初先生函久已写寄,汝来信误作易葵初。
①文坰系森玉之长子。
七
1939年9月7日
安顺
文绮知悉:欧战爆发已一星期,从前一切计划皆须变更。得汝来电阻售石经,此事系托燕京容君与彼方商价。欧战起后,此项买卖谅已停止。已顺汝意,电告容君矣。此后汝之方针如何? 仍以读书为是。王馨迪君当提前归国。余股部已大愈,能跛行四五华里。文坰行期屡延 (来信云拟经江西至宁波出口),实因昆明镇南关两路路费无法估计 (昆明客居三日须费百元),后方人口 (由沪港来者)大增,昆明小屋一间可月租五十元,猪肉一斤价二元二角,洗澡换水一盆价二元。贵阳照上价折半。重庆再折半,成都三折半,沪上或不致如此耶。此询近好
小毛同此。
森玉手泐
九月七日
八
1939年9月26日
安顺
文绮知悉:余赴筑①一周归来后,读九月二日来信 (另一张是廿八日写的),知汝已调总署工作。治学读书是一件事,办事又是一件事,不要混而为一,自不觉矛盾了。王馨迪过沪当已晤面,现计抵津矣。余当年收汉魏石经不过一时高兴,本身外之物,汝看得太认真了。欧战起后,此种交易当然罢议,望放心。文缃肯用功,由汝熏陶,所谓故人乐有贤父兄也。余股部屈伸尚不能自由,孙孝宽医师劝余觅温泉疗养,顷探得札佐有温泉(陈府何人在札佐,望探示),往否尚未决定。盖此间交通阻滞,物价奇贵,偶一动作,不觉用去数百元,不愿如此浪费,是以犹豫。阴雨多日,路上泥泞深尺余,终日枯坐,闷不可言。此询进步
文缃同此。
森玉手泐
九月廿六日
①筑系贵州贵阳别称。
九
1939月12月12日
安顺
文绮览:寄沪信尚未封,又接汝书附馨迪上汝三叔书,文理尚优,字迹颇似其尊人慕庄①先生,一览便知为谨饬之士,欣慰无似。正拆汝信时,隔邻沈其道兄(嘉兴人,北大毕业,最善笔札)来谈,即以汝信及馨迪书与阅,沈云:“王君函无时俗习气,但较之令爱尚逊一筹。”(汝大伯来示亦有此评) 或系当面恭维耶。余病已大愈(下半夜尚不能睡)。此间黄果颇佳(似上海之美国橙子,味更甜),日食五六枚,能助消化。温泉浴寓锋兄在云南代觅一处,食住均便,情甚可感也。
汝兄来黔之路已断,日内恐不能启程回沪。余来沪之计未能决定,恐不能参加汝结婚典礼矣。此询进步
森玉手泐
十二月十二日
①王慕庄 (名其康,1882-1929)系辛笛之父。
十
1940年2月26日
安顺
文绮知悉:前接来信,并馨迪诗词,曾复一函,并妄加评语,想已收到。汝与馨迪在青年会订婚,闻甚热闹,惜余未能躬与此盛也。暑假已前,汝仍在海关服务否?馨迪离港否? 甚为记念!小毛何时毕业?今年必更努力。此询近好
小毛均此。
森玉手泐
二月廿六日
十一
1940年4月24日
安顺
文绮览:前接来信并与馨迪订婚时所照照片二张,对之欣慰之至。汝前寄来合影二小张,馨迪形容严整,余故以敦厚评之。兹则文采焕发,气度轩昂,可见心境与面貌甚有关系也。余身体甚好,日内拟赴滇转港,料理居延汉简事。汝劝余来沪,余亦有此意,未识有机会否。此询近好
森玉手泐
四月廿四日
馨迪处望代我致意。汝兄不另与函矣。
小毛身长较汝高一寸余。
①1940年2月辛笛文绮在上海订婚,是年7月底结婚。
十二
1940年6月9日
香港
文绮览:接来函,得悉一一。汝婚期距今尚有两个月,本想来沪参加典礼,因有他种关系,业已作罢。彼时或尚在昆明,惟有遥祝汝二人黾勉同心,百年偕老而已。来香港视我一节,万万不可,缘欧战后,此间大非昔比也。曾购蜀锦被面二条,作为赠品,因滇越路检查太严,未带来,他日再用包裹寄沪。此间苦雨连绵廿余日不放晴(上海偏不下雨),天气甚凉。我的夏布衣不必寄来。香港人大过节,粽子特别大(梁卣铭、沈羹梅、马季明、许地山送来粽子甚多),我几吃伤了。此外举行龙舟竞渡,游泳家大半加入,亦一趣闻也。汝蜜月旅行否?此询近好
森玉手泐
六月九日
馨迪兄处为致候