说起生双胞胎,大家都是满满的羡慕。毕竟,在自然条件下,生双胞胎的概率还是很低的。
不过,从进化理论来讲,人类单胎生产的稳定存在是进化的表现。而双胎生产,则被认为是一种进化悖论。
因为根据Anderson提出的假说(The ova insurance hypothesis):双胎是多个卵子不良排卵的结果,有时甚至是错误排卵导致双胞胎的诞生。但也有人认为这是对不良生产的适应性调整,多排卵可以减少受精失败或减少胚胎缺陷/死亡的风险。
众所周知,孕妇随着年龄的增长,其生育力是逐渐下降的。
然而近日,一项发表于国际顶级学术期刊Nature子刊Nature Ecology&Evolution的研究发现:生双胎的概率会随着女性年龄的增长,有一个逐渐上升再下降的趋势,也就是女性的排卵模式会从单排卵转换为双排卵。
说得再直白点,就是年龄越大的女性越容易怀双胞胎!
不过研究人员表示,这种排卵模式的目的是为了防止早期胎儿流产,最大程度地提高个体生育成功率,而非为了孕育双胎。
生双胎的概率真的和年龄有关吗?
年龄依赖性双胎的假说
因为已有研究显示孕期流产或胎儿死亡率会随着孕产妇年龄的急剧增加而增加,所以研究者假设人类中观察到的异卵双生的年龄依赖性模式,可能是适应性排卵所致,随着年龄的增长从单排卵转换为双排卵。
怎么验证呢?研究者推导了一个简单的数学模型。(如果觉着麻烦,请自动忽略,拉到结论部分看~)
仅需两个参数,即:双排卵率和活产率,即可预测双胎率。对于年龄在t岁的女性,生出的双胎率(Tt)由公式Tt=Ft pt/(1+Ft(1 ? pt))(等式1)给出,其中Ft是双排卵率,pt是从受精到出生的存活率。
那么,研究人员发现了什么?
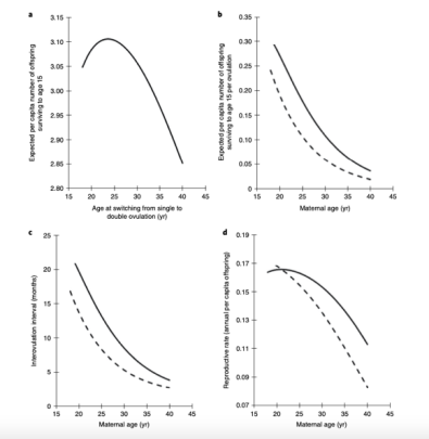
1.Ft从初潮时的接近零增加到绝经前的50%以上,随着女性接近闭经年龄,pt持续下降至小于10%,这就很容易解释了与年龄有关的双胎关系(图1a–d)。
2.随着年龄的增长,虽然双排卵率上升,但由于活产率下降,只会导致单胎生育或生殖衰竭,因此女性双排卵率的增加并不会转化为双胎的生产比率增加。
图1:产前存活率下降和双排卵率增加解释了年龄依赖性双胎比率。a-d,观察到的(点)和预期的双胎率(线)与人口中产妇年龄的关系。e、f,双胎排卵的可能性增加(e)和每个受精卵活产的比率降低(f)(等式1)。
总之,该数学模型的研究结果表明,在样本人群中≥90%的双胎是由于单排卵向双排卵的转变,这也支持了年龄依赖性双胎的假说。
那双排卵是女性可以自己选择的吗?
当然不是!年龄依赖性双胎模式仍是自然选择的结果。虽然生双胎对母亲和子代都具有健康风险和影响,但生双胞胎的母亲通常比生单胎的母亲具有更高的健康水平。
在越来越多延迟生产第一胎的女性中,双胎排卵以及随后其中一个同胞产前流产,将导致很大比例的单胎出生。例如,如果27岁女性双排卵的概率和每个卵活产的概率分别为0.05和0.2,则大约8%的双排卵女性将产生单胎。相反,在37岁时,当双排卵的概率和每个卵活产的概率分别为0.4和0.05时,由双排卵产生的单胎的比例上升到大约56%。
同时,研究者使用了补充方法,以评估采用年龄依赖性双排卵的女性其生育成功率能超过总是单卵或总是双卵排卵的女性。
图2:根据对1000名女性生育生活的模拟,存活15年的平均人均后代数(95%confidence intervals,n=10)。
不同排卵的生殖特征数学建模结果
总之,这里的结果就是:
1.当女性在大约25岁从单排卵转换为双排卵时,其体适能达到最大,这是适应性的结果。(注:体适能,是指身体各部位或各系统对突发状况的应变能力,包括的范围较广,如速度、反应、耐力、肌力、平衡性、柔软性、协调性和敏捷性等。)
2.尽管在所有年龄段,双排卵的平均后代存活率均高于单排卵。但每个排卵周期活产的可能性较低,单排卵者缩短了连续排卵之间的时间,而双排卵者延长了排卵之间的时间。
3.与较老的双排卵者相比,年轻的双排卵者更容易生双胞胎,但如果产妇体质较差,则其分娩双胎会有更大风险。因此,年轻时双排卵很可能会导致高风险怀孕,而大龄时双排卵很少生产双胞胎,所有不会有这样的担忧。
4.双排卵和单排卵的年龄相关生殖效应的这些差异,导致年轻的单排卵者的生育率超过了年轻的双排卵者,而在年龄大的女性中则相反。
想生双胞胎?再听听专业的妇产科医生的建议!
“确实如此,在多胎妊娠的发生中,一直有这个影响因素——随着女性年龄和产次的增加,多胎妊娠的发生率也在增加。”复旦大学附属妇产科医院产前诊断和胎儿医学科副主任熊钰教授进一步解释道,“因为随着年龄增加,卵巢也在衰退,排卵容易发生紊乱,本来一次排一颗卵子,就可能变成排两颗。”
事实上,在过去几十年里,由于辅助生殖技术、营养改善及生育推迟等因素,许多国家的异卵双胞胎的出生率都有所增加。
或许你觉得:技术如此发达,要不我们去做试管,生对双胞胎吧!
很遗憾,在经过详细评估后,医生可能会拒绝你的这个请求。
“现在试管时,我们越来越倾向于只放一个受精卵了。”熊钰教授进一步谈到,“90年代之前,为了保证最终的孕育成功率,可能会放多个受精卵。但近来有研究显示,胚胎移植时放一个或放两个,最后的成功率并没有区别。”
或许你又觉得:试管不行,那我晚点生吧!Nature子刊不是说“年龄越大越容易怀双胎”嘛!
很遗憾,这个也不建议呢!
虽然怀双胎的几率上升,可是高龄女性的卵巢功能逐渐下降,能不能自然怀上还是个问题!即使怀上了,高龄产妇由于机体处于下滑趋势,胎儿畸形的发生率、孕期并发症的风险都大大增加。
“而且,双胎妊娠相比单胎,对孕妇和胎儿的危险也更大。”熊钰教授提醒道。对于孕妇,贫血、妊娠期糖尿病、妊娠期高血压、产后出血等并发症的发生率都将升高;对于胎儿,早产、流产、畸形等发生率也更高。
“所以,如果选择做试管婴儿,尽量选择单胎,对妈妈和宝宝都好。而如果说怀了双胎的话,就尽早到医生这里来报道!毕竟有这么多并发症的风险,希望我们医生和孕妇可以一起能够顺利的走过!”熊钰教授最后谈道。
本文作者:李翔、火锅
编辑:张子杰
责任编辑:李伶
声明:转载此文是出于传递更多信息之目的。若有来源标注错误或侵犯了您的合法权益,请作者持权属证明与本网联系,我们将及时更正、删除,谢谢。