不用高考、初三即可报考、录取不超百人、一经发布就引起全网轰动的——
清华大学丘成桐数学领军人才计划,第一批名单已出炉!

△图源:从中学竞赛到大学预科公众号
据不完全统计,本次共有68位学子入选。其中深圳中学、重庆巴蜀中心最多,共有6名学子入选。
最小的是两位初三学生,分别来自深圳的耀华实验学校和云南的腾冲一中。
这周末(4月11日),这届学生将来学校报到,进行为期8周的预科培养,授课内容包括分析、代数、物理、西方名著导读、现代汉语等。
也就是说,这周末清华将迎来一批05后了。
第一批名单都有谁?
在丘成桐数学领军人才计划公布后,这届学生的母校们都没有闲着,纷纷公开报道了他们学习之外的另一面,以及学霸是如何炼成的。
比如有多才多艺的。这位来自合肥一中高一的侯健坤,就对钢琴、长跑很感兴趣。

△图源:合肥发布官微
去年刚升入高一不久,他就获得了安徽省奥林匹克数学竞赛一等奖。之后他又加入了国家“英才计划”,获得了中国科大老师指导的机会。
对于数学学习的诀窍,侯健坤有这两方面的经验。
首先,经常复习以前学习过的内容。
如果不经常复习,数学的一些解题技巧和方法过一段时间就容易忘记了。
其次,做完一道题目要回头看看整个解题的过程。
了解整个解题的思路以及精华所在,锻炼数学思维能力,学会总结和提炼。
以及,做好长期和短期的计划,并列好提纲。
这是侯键坤同学上高中以后Get的技能,“每天也会去对照自己做的事情有个回顾,这样不断提升自己在时间管理上的能力。”
而除了数学上的天赋以外,他在艺体方面也十分出色。
据合肥发布报道,这位侯健坤同学小学二年级开始学钢琴,初中考完了钢琴十级。
在去年学校体质测试中,他的1000米长跑成绩是全班第一。
另外,他偶尔还会打打游戏。在侯健坤看来,打游戏并不是一件坏事,最重要的是能有自控力。
其实,只要培养起对学习的兴趣,在学习的过程中能由衷地感受到乐趣,就不会沉迷于游戏。
而除了自身学习之外,父母的教育氛围也很重要。
就如北京八中高二的郝宇衡。

△图源:北京八中,郝宇衡(左一)
据北京八中官微报道,他的家长总是谦虚地说,自己不懂数学,指导不了孩子。但父母为郝宇衡营造了和谐宽松的家庭氛围,买了很多数学科普、数学史、数学家传记等相关书籍。
去年12月,他曾获全国高中数学联赛一等奖。
再比如这位,湖南师大附中高二年级陈茁卓。他的数学兴趣,就离不开父母的启蒙。

△图源:长沙晚报
据长沙晚报报道,陈茁卓在上幼儿园时学了两年的珠心算,每次下课回家时,常跟母亲炫耀。这时候,母亲会十分配合,“装傻”表示不会。
等到揭晓答案后,就表扬他说,“怎么这么快,妈妈还没算出来?”
时不时的,陈茁卓都会受到母亲的鼓励,“你是我见过最聪明的孩子”。
而他的父亲,就是陪他玩24点、数独游戏的那种,激发了他学数学的兴趣。
也正因为兴趣驱动,小学六年级时,陈茁卓就获得了“华杯赛”湖南小高组第一名。高一时,他啃掉了数学的八本教材及其配套《五三》,还两次在湖南省高中联赛获得的省一等奖。
如今即将前往清华入学的他,还有一个牵挂——
家里小白板上的一道数学题,关于“高斯固定”的。
陈茁卓的竞赛教练黄钢笑着说,
这个难题已经超出我们教练的一个水平了,属于至数学界今未能解决的一个数学猜想。
除了日常学习之外,陈茁卓选择踢足球来缓解压力,在年级足球队担纲主力的那种。
每次大汗淋漓过后,身心倍感轻松,可以帮助我以最好的状态进入下一轮学习。
……
除了这些学霸们跃入公众视线之外,“丘成桐数学科学领军人才培养计划”也再次引发了关注。
三位菲尔兹奖得主授课
首先,从招生规模上来看,“丘成桐数学科学领军人才培养计划”每年在全球范围内,招生不超过100人,而第一批学生也仅有68人。
对人才“精益求精”的程度,可见一斑。
据官方介绍,招收对象需具备以下条件:
崇尚科学、身心健康、成绩优秀、表现出突出数学潜质和特长并有志于终身从事科学研究的全球中学生;
面向内地主要招收高中一年级和高中二年级学生,特别优秀的初中三年级及高中三年级学生亦可申请;
面向境外主要招收十年级、十一年级学生,特别优秀的九年级及十二年级学生亦可申请;
当年度已被录取的清华大学本科新生也可申请(申请选拔程序另行规定)。
参与该项目选拔的考生,要过材料初评-综合测试-专业测试-体质测试四道关卡,两场文化考试。
学生在被录取之后,便会进入清华大学数学与应用数学专业。
而且清华还专门为了这个计划设立了一个书院——求真书院,由菲尔兹奖得主、清华大学数学中心主任丘成桐亲自担任院长。

不仅如此,丘成桐对这批年轻人还给予了高度的期望:
要将这批年轻人训练成在数学科学领域世界领军的重要人才。

至于培养方案,简单来说就是“‘3+2’+3”,从本科一直培养到博士阶段。
前3年是打基础阶段,主要学习的是数理基础课程。
中间的2年,则更加侧重于发现学生的兴趣,会邀请世界顶尖国际大师来授课等。
值得注意的是,在“3+2”这个五年期间内,学生是不可以转专业的。
而最后的3年就是博士阶段,要为学生成为科学家做培训:
可以根据学术兴趣,在纯数学领域,或者与物理、计算机等不同学科交叉领域,做出世界顶尖水平的博士论文。
课程方面也有所不同。
据了解,这个计划的基础课程,是具备高挑战度和提升创新思维的数学、物理课程。
除此之外,在清华已有的通识课程基础上,增设了“数学科学史”、“西方文学经典名著阅读”、“中国历史”等书院特色课程。
上课模式也别具一格,用官方的话就是“超豪华小班模式”。
在教学方面的师资力量不用多说,在教学和创新思维方面具备丰富的经验。
目前,已经有多位重量级学术大牛加入。
比如,2018年菲尔兹奖得主Caucher Birkar,将为书院学生讲授代数。
国际著名低维拓扑、群表示论和量子场论专家、美国加州大学伯克利分校数学系教授Nicolai Reshetikhin将为书院学生讲授量子数学。
哈佛大学Wilfred Schmid教授每年定期来书院讲学三个月,并将以哈佛大学数学系最出名的一门课Math 55为蓝本,为书院学生开课。据说,比尔盖茨曾修过此课。
2010年菲尔兹奖获得者、美国芝加哥大学教授吴宝珠,每年定期来书院讲学一个月。
在生活方面,还会聘用年轻教师来担任“学业指导老师”,1个老师负责5名学生的学业辅导和生活。
……
虽然许多网友对此举表示“赞同”和“感动”,但与此同时,也存在着一些不一样的声音。
例如在前5年无法转专业这件事上,网友们的态度就并不那么乐观。
有人认为,当学生到了大学,发现并不适合走数学科学家这条路,届时会有“为时已晚”的风险。
还有许多网友支持这样的一个观点——数学天才不是集中训练出来的,而靠的是天赋。
对于在这么小的年纪进入大学搞科研,网友们对学生的心理健康也提出了担心的想法。
他们认为,数学,尤其是纯数学,即便再有天赋,钻进去后所产生的心理压力是极大的,而作为未成年人,学生应当配备心理健康老师。
One More Thing
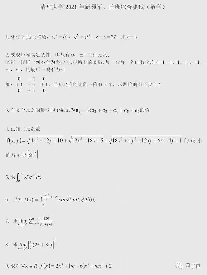
最后,分享下此次综合测试的部分数学试题。

据考生回忆,这场考试难度也就大学水平,达不到竞赛难度。
来试试吧~
作者:金磊 杨净
编辑:顾军
责任编辑:姜澎
图文来源:量子位
声明:转载此文是出于传递更多信息之目的。若有来源标注错误或侵犯了您的合法权益,请作者持权属证明与本网联系,我们将及时更正、删除,谢谢。