拥有AI大脑,城市将会怎样?答案,就在每一个上海人的日常生活体验里。
2020年,世界人工智能大会第三次在黄浦江畔举办。世界各地的最强大脑再度云集上海,我们也再度细品生活中的AI,不是简单的“多了”,不仅仅是柴米油盐、衣食住行,看得见、用得着的人工智能已经深入城市建设、运行和管理的各个轨道,有效地提升了城市的效率、生活的品质。城市大脑的AI神经网络,究竟能耐几何?请看海岸君的“上海AI组网报告”。
新民晚报“上海时刻”——上海AI组网报告
AI+医疗
社区卫生服务中心也有大梦想
一家社区卫生服务中心,和其他三级大医院同赛道起跑,顺利取得了互联网医院的牌照,令社区老病人刮目相看:“没想到社区医院现在发展那么好!”疫情期间,静安区彭浦新村街道社区卫生服务中心借势互联网,通过区域平台“健康静安”微信公号、“静安家庭医生”APP,成为国内首家上线运行的实体社区互联网医院。运行2个多月,200多人次的社区签约病人体验了这种就诊新模式。
“对于互联网医院的创建,虽然我们和大医院起点相同,但有着不同的终点。别看我们的数据不大,实际意义却不可小觑。” 静安区彭浦新村街道社区卫生服务中心主任彭德荣告诉海岸君,从医疗机构的功能定位来说,社区不同于三级医疗机构,而互联网医院最适用的场景在社区卫生服务中心。因为社区患者中绝大多数是慢性病患者,学会了使用手机看病配药后,他们可以随时与家庭医生取得联系,对自己的健康也更关注了。

教会患者注册绑卡,多次联网成功之后,不少患者已经可以与医生在互联网医院手机端连线视频

诊间收费大大方便了患者,再也不用就诊结束后去排队付款领药等一系列动作了

通过设置在社区范围内多个定点测量点的心电图远程传输设备,医生可以在诊室的电脑上实时看到患者的心电图波形图,并作出诊断发送给测量点
60多岁的签约居民田阿姨住在5楼,人比较胖,慢性病一大堆,进出爬楼都不方便。互联网医院4月底上线后,她的签约医生、中心副主任傅颂华就教会她注册绑卡,联网成功后,田阿姨试着与傅医生在互联网医院手机端连线视频。根据提示完成挂号、医保付费不久,第三方物流配送就将药物送上了门。第一次体验成功,令田阿姨十分激动。“六七十岁的阿姨伯伯,对新知识掌握很快,所以从他们这个群体开始推广互联网医院。”傅颂华说,她的20来个签约病人现在都会熟练使用互联网医院在线就诊了。
社区互联网医院,仅仅帮助患者挂号配药?在彭德荣看来,这只是第一步。彭浦新村街道辖区实有人口14.6万人,居住密集、老龄化程度高,年门诊量达86万人次,即使在疫情期间,日门诊量仍维持在2800人次左右,病情稳定的慢性病患者复诊“续药”是刚需。他说,今后除了在互联网医院全面开放各科门诊预约外,还将针对不同的签约病人推送不同的健康科普教育;同时发展更多年轻的签约居民,把预防疾病的关口前移。
“在'互联网+'的基础上,我们还要探索智慧医院的建设。比方说,针对慢性病居民的家庭饮食,我们正在和第三方合作研发智能厨房管理设备,计算每天的油盐摄入量,并同步传输到互联网终端,为家庭医生的健康干预提供有效依据。”在彭德荣的规划里,想为所有签约居民建立覆盖诊前、诊中、诊后,线上线下一体化的新型基层医疗卫生服务架构,真正实现智慧化、个体化的社区健康管理新模式。
AI+交通
车更聪明路更智慧
去年世界人工智能大会开幕前夕,上海临港智能网联汽车综合测试示范区正式开园。根据企业的不同需求,示范区可提供33类功能场景以及130项逻辑场景等测试服务。这一年来,自动驾驶汽车在园区的各种测试路段历经考验,也见证着上海人工智能的飞速发展。
在这儿,“聪明”的汽车会从明亮的户外来到灯光昏暗的隧道,也会在万里无云的晴天突然经受暴雨的“折磨”。示范区拥有全国最长的光模拟隧道,可实现隧道内卫星定位导航失效工况测试、夜间及低光环境自动驾驶测试;也有着全国最长的可控降雨模拟道路,可根据测试需求切换雨雾、小雨、中雨、大雨、暴雨五种模式。此外,测试示范区还有核心测试广场、高速公路功能区以及城市道路功能区。

上海自贸区临港新片区

商汤科技依托独立自主研发的深度学习超算平台(SenseParrots)、基础算法工具链、大数据标注仿真平台等优势,商汤科技为客户提供L4级自动驾驶解决方案、ADAS高级辅助驾驶解决方案,致力于打造未来智慧出行体验。
在测试示范区,商汤科技依托独立自主研发的深度学习超算平台、基础算法工具链、大数据标注仿真平台等优势,为客户提供L4级自动驾驶解决方案、ADAS高级辅助驾驶解决方案。“我们通过一个单目摄像头可以精准识别车道线、路边沿、可行驶区域、车辆、行人、交通标志及交通灯等道路信息,准确预警车道偏离、前车追尾 、前车加塞、行人碰撞等行车危险,并适用于轿车、客车、货车等多种车型。”商汤科技研发执行总监石建萍告诉海岸君,“在无人驾驶方向,我们研发了包括感知、分析预测、决策规划控制、城市级三维地图重建及无人车高精度定位能力等技术能力的L4级自动驾驶解决方案。”未来,商汤科技将以临港为智能驾驶研发中心,致力于提供更安全、经济、便捷的未来出行体验。一方面将推动自动驾驶技术迅速落地,打造“聪明的车”;另一方面,也将推动路侧感知相关产品在V2X场景下的应用,助力打造“智慧的路”。
博雷顿电动智能装载机则适用于各种工况,特别适用于对工人的人身安全、健康存在严重威胁的施工环境,如井下、港口码头、煤矿等,而且搭载了博雷顿智能铲装系统、一键铲装准备、一键找平贴地以及一键卸料等智能技术。相比传统柴油机,节省能耗成本70%以上,搭配平行驾驶更能高效节省人工成本。

博雷顿电动智能装载机

深兰熊猫智能公交车
在嘉定国际汽车城,深兰熊猫智能公交车和AI智能扫路机“熊猫扫地王”这几天参与了“AI+交通应用-自动驾驶动态体验活动”。“熊猫智能公交车是一款大型人工智能、自动驾驶客车,也是一款豪华型高配AI客车,致力以科技优势赋能公共交通运输系统,提供便捷出行、生活服务、精准营销等出行碎片化时间利用的高品质舒适体验,重塑智能城市公共出行新生态。”深兰科技研发人员告诉海岸君,“它适用于城市公交线路、园区接驳线路、机场巴士线路、机场摆渡线路。”
AI+通讯
当工地、园区插上“5G+AI”翅膀
工人们头戴“5G智能安全帽”,“刷帽”进门;工地现场各个位置安装了摄像头,24小时拍摄高清监控视频,安全无死角……5G和商圈、医院、工厂等的融合已经屡见不鲜,但5G和工地或许很少有人听闻。那么这两者的碰撞,又会产生怎样的火花?在中建八局虹口区提篮桥项目现场,5G智慧工地的应用开花结果,工地全方位信息化管理提速。
工地现场各个位置安装了摄像头,24小时拍摄高清监控视频,借助5G网络高带宽的优势,实时回传至指挥中心,项目经理可直观地了解建设进度,也可随时回看,全面掌握项目情况。中建八局虹口区提篮桥项目5G智慧工地负责人梅健伟介绍,5G网络低延时的特点,能保证现场情况第一时间上传到监控平台,项目经理可及时了解项目是否存在安全隐患。

上海移动和中建八局综合运用了AI(人工智能)、IoT(物联网)、BIM(建筑信息模型)等技术,共同打造5G智慧工地管理中心系统,为管理层搭建“项目大脑”,实现数据实时汇总、过程全面掌握。同时,突破传统的工地运营管理模式,实现对工地进行4K高清视频监控、劳务(门禁)管理、物料监控、环境监测、视频监控管理、塔吊防碰撞、特种设备监控等多元化智慧管理,通过“人”“物”在线,提升工地的现场进度、安全质量、成本管控等各方面的协同管理效能。
在工地现场的实名制通道,工人们头戴“5G智能安全帽”,“刷帽”进门。“5G智能安全帽”内置芯片,进场时可识别工人。“这也方便我们劳务管理,及时获取考勤数据,分析用工情况,手机端就能查看工人到岗情况。当工人进入施工现场,通过考勤点设置的设备,能主动感应安全帽芯片发出的信号,区分队伍和个人,播报预警信息。”梅健伟透露,项目部还将开展5G、WiFi线上答题、VR全场景安全体验教育等。
在上海临港中国移动国际数据中心,5G机器人已经担起巡检数据中心冷源机房的重任。上海移动还在推动5G智慧园区建设,在5G网络的支撑下,运用物联网、人工智能、大数据等最新技术,协同生态合作伙伴正紧锣密鼓调试智慧无人短驳车、无人机园区运维监控、智能巡检机器人等智慧应用。一个集智慧运维、智慧物业、智慧安防、智慧展示、智慧生活五位一体的智慧园区生态圈已经初现雏形。

上海正加快5G网络建设,截至4月底,已建5G室外基站和室内小站均超过1.9万个。5G商用牌照发放一年来,上海移动面向智能制造、智慧银行、智慧医院、智慧交通等10大垂直领域,打造了超过40个5G行业应用“样板房”,促进5G与产业链各环节融合,推动5G融入百业。
AI+农业
田间走几步就能碰见高科技
无人值守果园机器人,在田埂上穿梭;无人机不仅可以低空施药,还负责精准测绘;水肥一体化技术让水、肥合理配比;农事记录仪、施肥机、除草机、气象站、摄像头及多个感应器,位于上海崇明区的阿里巴巴翠冠梨基地,如同一个超现实的AI+农业“试验田”。这是2019年12月盒马与上海市崇明区达成战略合作后,首个重要的落地项目——上海市首家“盒马村”近日建成。未来,该数字农业基地的高品质翠冠梨,将直供盒马线下线上全平台。
“盒马村”位于崇明岛西北角,绿华镇华西村。村民李峰从十几年前开始种梨,在这个“疫情之年”,熟悉的梨园迎来了剧变——传统的梨园成了现代化农业基地。梨园多了几十种高科技设备:无人机、无人值守果园机器人、水肥一体化灌溉设施、数据传感器……每走几步路就能看到。不止如此,在崇明区农业农村委和阿里云的帮助下,果园还建立了溯源系统、农事管理系统、物联网云平台。

上海首个盒马村,翠冠梨数字农业基地,无人机正在低空施药

翠冠梨数字农业基地内,一进大门就是一个触碰式显示大屏,园区的高科技设备和果树长势一目了然

翠冠梨数字农业基地里的无人值守果园机器人正在施药
据李峰评估,两个月后梨子成熟,亩产将超过1.5万元。而且,AI+农业极大地缓解了他的劳动强度,比如无人机施药,同样一片梨树园,以前至少需要四名熟手操作半个小时,现在两名产业工人操作无人机,只需要2分钟。在基地,有的农民甚至已经学会操作无人机,还有的学着用手机种地。更重要的是,李峰和农民们再也不用担心销路,标准化种植的梨子,将直供各大盒马线下门店和线上旗舰店,农民们率先享受到订单农业带来的惠利。
据介绍,“盒马村”是崇明区首家阿里数字农业基地。崇明区作为上海市重要的“菜篮子”,承担市区1/7的蔬菜供应量,也是盒马优质生鲜农产品的重点直采基地。以该“盒马村”为圆心,AI+农业的新模式将辐射上海农村,改变农民的生产、生活方式。阿里巴巴数字农业事业部总裁侯毅告诉海岸君,阿里巴巴将在全国落地1000个数字农业基地,对农业产业进行全链路数字化升级。“首先建立农业大数据,让农民在农业生产过程中就有数字化的系统、设备支持,有标准可依,在农村形成数字生态体系。然后,通过AI赋能,打通优质农产品进城与优质农资进村两大瓶颈,让城里人吃得放心,让农村人享有城里人享有的AI生活。”
AI+社区
便捷办事在身边
园区事,园区办;楼内事,下楼办;高频事,自助办……2020年是“一网通办”改革的攻坚提升年,上海卓繁信息科技股份有限公司的“AI+社区”智能终端,覆盖范围越来越细化,给予周边居民更多“就近办”的AI福利。本次世界人工智能大会的虚拟云端“AI家园”里,在“AI+城市管理与商业”展区的11号展位前,人工智能赋能的“一网通办”,让许多“云上参会者”大呼神奇。
而在上海215个试点街道,“AI+一网通办”便捷与高效,正在实实在在惠及社区居民。在上海浦东新区浦兴路街道社区事务受理服务中心,海岸君看到“一网通办”超级自助终端前,时不时有市民前来办事。

办理门急诊就医记录册、居住证有效期更新
敬老卡申领、异地就医办理
独生子女证档案查询、生育保险申请
……
许多事务根本无需走进社区事务受理中心,
就直接可以人机互动办理完毕。
智能语音咨询,现场打印文档,还能少排队省时间,刚刚办完事异地就医查询的程女士,对AI赋能后的社区办事体验,连连称好。
今年4月,为加快建设具有上海市特色的新型基础设施,培育发展新经济,上海市人民政府印发《上海市推进新型基础设施建设行动方案(2020-2022年)》,将实施一体化融合基础设施(“新平台”)建设行动列为主要任务之一,提出建设政务服务“一网通办”基础支撑平台。为此,上海卓繁科技股份有限公司积极参与建设“AI+一网通办”基础平台,构建AI内容学习总库,提供一批解决部门共性难题、提升效率的通用算法模型,开发在审批、服务、监管等场景下的智能化应用,构建“一网通办”基础平台AI能力。
卓繁信息人工智能事业部副总经理张冲告诉海岸君,基于在政务服务领域的丰富经验及智能科技方面的开拓创新,卓繁信息集成档案、公安、医保等多条线服务能力,打造了“一网通办”超级自助终端。自助终端可以提供居住证卡面信息更新、就医记录册的申领/更换/补发、证照打印、档案查询等各种热门服务,支持生育保险申请一件事、灵活就业两项补贴一件事、异地就医一件事等事项办理。
与此同时,基于“一核心高扩展”的模块化结构设计理念,“一网通办”超级自助终端以一体化专业外设终端为核心,支撑各项应用高效稳定运行,提供人证核验、语音搜索、智能导办、随申办亮证、沪语引导等多个办理功能服务。同时,高度的扩展性便于在业务推进过程中灵活集成更多专有设备。张冲说,“一网通办”超级自助终端的设计及使用将进一步推动“一网通办”从“侧重行政权力事项”向“行政权力和公共服务事项并重”转变,从“能办”向“办好”转变,实现“一件事”业务流程再造,使个人办事更加方便、快速,法人办事更加高效、可预期。
AI+气象
智能天气预报精细到1公里
“6时到9时,阴有多云有时有雨,气温25℃~26℃;9时到12时,阴有多云有时有雨,气温25℃~26℃……”昨天清晨5时28分,一份细化到小时和上海16个区的分时段、分区高考天气预报发布,为考生出行做好预报“护航”。这是上海气象部门今年首次推出的高考精细化气象服务,而这精确到小时和区域的预报得益于近几年人工智能对“风云预测”的助力。
上海中心气象台台长马雷鸣介绍说,当人工智能进入到天气领域“学习”后,它能从海量天气数据中捕捉到风云变化的端倪,并更快、更准地抢先“预告”天气的变化。“从技术上来说,基于雷达、数值预报等大数据的机器学习,上海智能预报已能精细到1公里,助力提升城市防灾减灾能力。”
大自然风云变幻,作为预测科学的天气预报很难达到100%的准确率。尽管现代气象的预测系统已在数值预报模型上取得不错的效果,但这种依赖人们对大气运动规律理解所建立的物理模型,仍存在‘短板’,它在预报0-6小时天气时需要有个热启动过程。这就像跑步前需要热身一样,热身完才能表现更佳。而且,基于观测和理论的认识,目前的国际主流数值预报模式更擅长预报较大尺度天气事件,比如台风路径、副高进退等,但对几公里、几百米、即刻发生的小尺度天气就显得有点‘有心无力’。”马雷鸣说。

利奇马台风的观测和预报

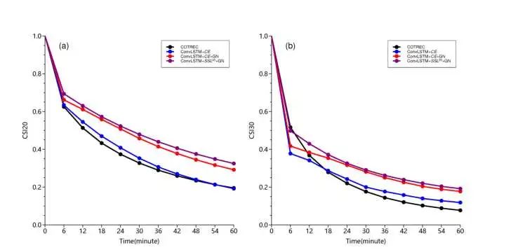
人工智能外推技术(紫色)与传统外推技术COTREC的预报评分比较(左图:20dBZ雷达回波;右图30dBZ雷达回波;紫色:人工智能方法;黑色:传统方法),不同强度(右图更强)回波(对流)随时间的预报评分变化,评分越高越好,评分随时间降低越慢越好。

最左图是欧洲中心数值模式降水预报(上图:6小时预报;下图30小时预报;OBA序回归模型是人工智能模型。)这是相对于数值模式的人工智能订正结果
以往,对数值预报尤其是短临天气预报的修订,大多依靠预报员的主观经验,但是,人工智能和预报员人机联手,可让天气预报更精准、更精细。“天气预报实际上是对于海量气象数据的收集、分析与利用。一方面,现代气象观测手段的进步,为人工智能提供了大量的数据‘教材’,另一方面,AI也在不断‘学习’。”马雷鸣说,近年来,上海气象部门与复旦大学等高校合作,一直在尝试卷积神经网络等为代表的人工智能算法研究。“通过大数据客观分析学习观测的不同尺度大气运动规律和数值预报误差,发挥海量观测和数值预报数据作用,在短临外推预报、短临灾害性天气识别与预测、数值模式预报订正等方面取得了一定的技术成果。”
目前,基于高分辨率的雷达等观测网的布局,上海气象部门的智能天气预报技术可将预报网格分辨率缩小到“1公里”,时间上最快可实现逐6分钟提供未来0-1小时的精细化天气预报。如果,一个成年人步行1公里约需要15分钟,那么,“1公里×1公里”的精细预报可以将“局部”定位到某个街镇或小区——或许,在不久的未来,当你在新天地漫步,打开定位和导航的手机就会发来精细化的智能网格预报提醒:根据您目前的行进速度,20分钟后在新天地附近会出现每小时35毫米的降雨,建议及时避雨。
在去年的进博会上,人工智能在气象保障上的应用也颇为亮眼。雷达外推产品和数值预报定量降水订正产品每天都在进博会气象服务保障系统中发布,为进博会举办风云“护航”。这两项产品还在台风‘利奇马’的风雨影响预报中发挥了作用。马雷鸣说:“在短临预报中,应用卷积神经网络方法学习海量历史雷达资料所反映的强对流天气雷达回波特征,能推测出灾害天气未来0-2小时的演变趋势,而通过人工智能大数据分析,能对数值模式逐日的短期预报误差作出订正,台风降水区域和影响时段的预报将由此更准确。”
来源:金海岸工作室
编辑:邵大卫
声明:转载此文是出于传递更多信息之目的。若有来源标注错误或侵犯了您的合法权益,请作者持权属证明与本网联系,我们将及时更正、删除,谢谢。